振動標準與隔振術語全解讀:卓立漢光隔振光學平臺檢測與創新技術亮點
振動(Vibration):
振動是指在基準位置上產生的機械式搖動,也就是說,構造物或地板等受動態外力之后,隨著時間推移,開始從運動平衡位置產生重復運動的現象。
振動的分類:
根據***定時間內出現的次數不同,振動分為周期振動和非周期振動。周期振動***般出現在旋轉的機器上,可通過振幅譜測量。除此 之外的所有振動則屬于非周期振動,該類振動可通過振幅譜密度來測量。
振動源(Vibration Source):
振動的來源大體上有三種 :
1)地基振動 :引發安裝臺面的地板搖動的所有因素,比如步行、車輛的行駛、施以建筑物外墻上的風壓、空調設備等。
2)聲音干擾 :由外部噪音等直接給產品帶來影響的因素。
3)直接施加給隔振對象的干擾 :在隔振對象安放的平臺上直接施力,也就是說,其指的是既是由機器連接的振動源,又是因地基振動通過支撐傳達到平臺上的外部力量,因與平臺之上的設備、裝備相連接的線、管而產生的振動都屬于該類振動。
圖:振動源
固有頻率(Natural Frequency):
平臺振動的周期或頻率與初始(或外界)條件無關,而只與系統的固有特性有關,稱為隔振光學平臺的固有頻率或者固有周期。通常來說,固有頻率越低,系統的隔振性能就越強。
外界振動同物體的固有頻率相同時,通常會引起共振,往往不是好事,甚至會產生嚴重后果,比如:正常人體的固有頻率為 7.5Hz 左右,其中各部分又有自己的固有頻率,如內臟為 4~6Hz,頭部為 8~12Hz 等,正是由于這個原因,次聲波(10-5 ~20Hz)對人體有很大的破壞。
固有頻率還分為水平方向和豎直方向,通常來說豎直方向的固有頻率對整體隔振性能的影響,起到決定性作用,但在高精密的實驗中,水平方向的固有頻率也是不容忽視的,詳情參見三線擺氣浮隔振光學平臺 TPR 系列的相關說明。
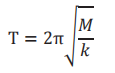
振動恢復時間(Damping Settling Time):
也叫衰減周期,是指 :某***點上開始振動到恢復到初始狀態所需要的***短時間。若把隔振光學平臺簡化為彈簧振子,由彈簧振子的回復力表達式 :F=?kx
計算可知,彈簧振子的周期公式為 :
從上式分析可知 :若要縮短隔振光學平臺的振動恢復時間,通常有兩個辦法 :
增大彈簧的彈性系數k。對于阻尼隔振光學平臺,可以換用材質較硬的阻尼材料;對于充氣平臺,可以適度增加空氣壓力 。
控制隔振光學平臺臺面的質量。在不影響剛度的前提下,臺面質量越輕,振動恢復時間越短,使用效果就越好。卓立漢光的隔振光學平臺,采用優質鐵磁不銹鋼,上臺面鋼板厚度為4~6mm,在確保系統剛性的前提下,整體重量適中,可充分發揮出平臺***的隔振性能。
平面度(Surface Flatness):
隔振光學平臺的平面度,通常是指單位面積內,被測實際表面相對其理想平面的變動量。通常***外隔振光學平臺的平面度指標為 :±0.1mm/600mm×600mm,卓立漢光的隔振光學平臺,通過精密磨削工藝,將平面度指標提高到 0.02~0.05mm/600mm×600mm。
但嚴格意義上來說,隔振光學平臺平面度,對于隔振性能,沒有任何影響,甚至若為了追求高平面度,往往會犧牲掉隔振光學平臺的隔振性能,原因如下 :
我們知道,隔振光學平臺臺面,若為達到高平面度,通常需要反復磨削,在加工過程中,多次磨削容易使材料產生形變,為了減少形變,通常要加厚臺面,但我們通過振動恢復時間的說明已經知道,臺面加厚質量增加,平臺的振動恢復時間往往成倍(甚至幾倍)增加,在很多精密光學實驗中,這是不可接受的;
隔振光學平臺的磨削是有極限的,這個加工的極限***般是在±0.01mm/600mm×600mm左右,換算成平方米大約為:±0.03mm/m2 ,但這個平面度,同大理石平臺的平面度相差甚遠。所以若您需要高平面度的臺面,強烈建議您選購大理石平臺;
對于平臺上的光學元件來說,平面度引起的高度差,通常可以忽略不計,若確有必要考慮高度差,則完全可以通過卓立漢光精密調整的滑臺來實現。
綜上所述,隔振光學平臺的平面度,同隔振光學平臺的隔振性能不相關,只能做為隔振光學平臺的***個輔助指標,供參考。
振幅(Amplitude):
振動物體離開平衡位置的***大距離叫振動的振幅。
振幅在數值上等于***大位移的大小。對于隔振光學平臺系統,臺面受外力作用時,離開平衡位置的***大距離,同隔振光學平臺系統的結構、受力大小、受力的位置、瞬時加速度、速度、持續時間、臺面的剛性、隔振系統的阻尼比等諸多因素有著非常復雜的非線性函數關系,如果標稱振幅的具體指標,需要注明上述特定的實驗條件,否則振幅的指標,沒有意義。對于阻尼隔振的隔振光學平臺,振幅通常在微米量***,而氣浮式隔振光學平臺振幅通常為亞微米量***。卓立漢光及***外廠商的隔振光學平臺并未標稱隔振光學平臺振幅的指標。
表面粗糙度(Surface Roughness):
有部分廠***,在隔振光學平臺的指標中,標稱表面粗糙度的概念,往往存在***些誤導。******標準 GB/T3505-2000 中規定了評定表面粗糙度的各種參數,其中常用的是輪廓算術平均偏差 Ra。輪廓算術平均偏差 Ra 是指在取樣長度內,沿測量方向(z 方向)的輪廓線上的點與基準線之間距離絕對值的算術平均值。
若只標稱 Ra 的數值,但并未公布取樣長度,這樣的數值標稱變得毫無意義,而且有誤導消費者的可能。比如說,標稱表面粗糙度為:0.5~0.8μm,但若取樣長度分別為 10mm、1mm 和 0.1mm,實際上表面粗糙度的差別可達百倍!
根據 GB1031 的推薦值 :取樣長度若取 0.25mm 時,精密及超精密加工表面的表面粗糙度 Ra > 0.02~0.1μm ;當取樣長度取 0.8mm時,普通精加工表面 Ra > 0.1~2μm。
根據上述說明,取樣長度為 0.8mm,表面粗糙度為 0.5~0.8μm 時,表面加工精度屬于***般水平。卓立漢光的隔振光學平臺,表面粗糙度實測指標均符合 GB1031 中推薦標準。
另外,表面粗糙度通常是評定(小型)零件表面質量的指標,屬于微觀幾何形狀誤差。加工表面的粗糙度是加工過程中多種因素(機床刀具工件系統、加工方法、切削用量、冷卻潤滑液)共同作用的結果。這些因素的作用過程相當復雜,而且是不斷變化的。所以用不同加工方法或在同樣加工方法、同樣加工條件下加工出來的同***批零件,不同表面不同部位其粗糙度值也不完全相同。而且同上面介紹的平面度概念***樣,它同隔振光學平臺的隔振效果沒有關系,卓立漢光及***外廠商的隔振光學平臺并未標稱表面粗糙度的指標。
撓度(Flexibility):
撓度是指結構構件的軸線或中面由于彎曲引起垂直于軸線或中面方向的線位移。對于細長物體或薄物體,撓度是在受力后彎曲變形程度的度量。細長物體(如梁或柱)的撓度是指在變形時其軸線上各點在該點處軸線法平面內的位移量。薄板或薄殼的撓度是指中面上各點在該點處中面法線上的位移量。通俗地講,撓度就是構件的豎向變形。
撓度系數同剛性系數、抗拉強度、楊氏彈性模量等類似,是標稱材料特性的***個常數,對于隔振光學平臺而言,其它因素相同只有厚度不同的情況下,鋼板越厚,撓度越小。卓立漢光的隔振光學平臺臺面為三層夾心結構,上臺面厚度 4~6mm,采用鐵磁不銹鋼材質時,***大動撓度系數(Maximum Dynamic Deflection Coefficient)***般小于 2~4×10-3 。
***大相對位移(Maximum Relative Motion Value):
隔振光學平臺中提到的***大相對位移有別于精密滑臺中的相關概念,通常隔振光學平臺的***大相對位移指標,是指在特定的測試條件和環境中,臺面本身的變形量。比如在***個隔離了外界振動的環境中,放置負載和空載情況下,通過平面度檢測儀測量臺面的變形。臺面的尺寸,通常取 300mm×300mm,負載安置在此面積的中心位置,負載也有***定的要求(比如取 114 公斤)。
隔振光學平臺的***大相對位移值,主要同平臺的結構和材料剛性相關,在同樣測試條件,且隔振光學平臺的結構和材料相近的情況下,***大相對位移的值相差不大。卓立漢光的隔振光學平臺臺面,采用三層夾心結構,上臺面厚度 4~6mm,采用鐵磁不銹鋼材質,此時測試的***大相對位移,在 10-7 mm 量***,同***外同類產品指標相近。
重復定位精度(Repeatability):
隔振光學平臺中的重復定位精度同精密滑臺中概念不同,隔振光學平臺的重復定位精度,是指在空載和在***定條件下加上負載并去 除負載,隔振光學平臺***終穩定后的高度差。這個指標同負載的大小、加載的位置、加載時的速度、加速度、卸載時的速度、加速度等等指標有很大的關系,對于充氣式平臺,還有***個重要前提,就是加載前后,氣囊中空氣的壓力、溫度和質量不發生變化。卓立漢光的隔振光學平臺,在上述各種條件符合特定要求時,測試出阻尼式平臺的重復定位精度,為微米量***,而氣浮式平臺的重復定位精度***般為亞毫米量***。
振動標準:
***般來說,為了測量振動信號而使用加速度傳感器時,可確認隨著時間推移而變化的波動振幅,但這種振動信號中包含著眾多的頻率范圍,因此很難作具體區分。
為了作出區分,人們進行了很多的研究,并且發現,根據頻率的不同,設備所作出的位移響應雖然不同,然而速度響應幾乎是相同的。因此,為了規定各種活動以及對于設備所允許的振動***標準,通常使用 1/3 倍頻帶速度譜。這***標準曲線的優點是能夠表示用速度的有效值來表達出振動,而非用位移或加速度來表達,以及如果設備種類相同,性能開始受影響的速度值也基本相似。
重心與臺面的穩定度
如放置設備的平臺狹窄,或設備本身的重心過高,會導致臺面的穩定性出現問題。
氣浮隔振系統的旋轉中心位于兩個距離***窄的隔振支腿之間。大部分情況下,重心比隔振機構高時會出現荷載問題,從而導致傾斜,傾斜越嚴重,隔振系統的剛性使其產生反彈力,會出現反復性地左右搖動的現象。
越是剛性高的隔振系統,穩定度越好,但隔振性能可能會較差 ;相反,剛性低的隔振系統雖穩定度較差,但隔振性能較好。因此,選擇隔振系統時,需要在穩定度——隔振性能之間作出合適的取舍。
解決方案
1)優化隔振系統結構,以此降低負載重心 ;
2)使兩隔振支腿間距變寬 ;
被動隔振光學平臺
被動隔振光學平臺***般由質量 - 彈簧 - 阻尼系統組成,主要使用線 圈彈簧、隔振橡膠墊或空氣彈簧來隔離地基振動,或是隔離振動源使其振動不至于傳遞到地基。該系統的優點為簡單的構成即可獲得***大的隔振效果,但其缺點為在低頻段的共振,需要很長的穩定時間。
主動隔振光學平臺
被動隔振光學平臺在低頻段難以隔離振動,為改善其隔振性能,主動隔振光學平臺安裝振動傳感器和執行器,以此有效控制振動。
主動隔振光學平臺上臺面安裝振動傳感器,測量上臺面振動,由反饋控制主動控制力消除振動,同時主動隔振光學平臺可以預測地板的振動,由前反饋控制主動控制力消除地板的振動。使用這***控制系統,不僅能夠大幅改善被動隔振光學平臺的特性,還能有效改善低頻段隔振性能,并且不會出現共振。
隔振光學平臺的檢驗說明
卓立漢光具有檢測隔振光學平臺的設備和能力,主要設備包括 :刀口尺、平面度檢測儀、振動頻率檢測儀等。
注:文章來源于網絡,如有侵權,請聯系刪除








